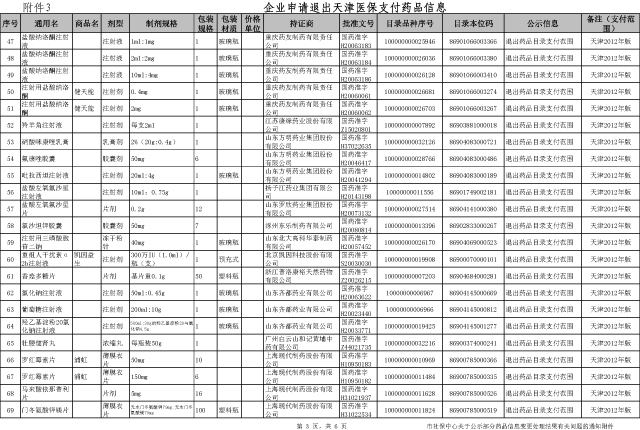
2018年7月5日,天津市社会保险基金管理中心办公室发布《关于公示部分药品信息变更处理结果有关问题的通知》(津社保办发〔2018〕152号),就下调医保支付标准、删除数据信息及退出天津医保支付等情况的180个药品信息予以公示。
其中,“拟下调医保支付标准”的药品有33个,“在天津药品代码库中删除”的药品有9个,“退出药品目录支付范围”的药品有138个。公示时间为2018年7月5日至7月9日,公示期5天。
33个拟下调医保支付标准药品一览
9个在天津药品代码库中删除数据药品信息
138个退出药品目录支付范围药品信息
来源:天津市人社局
为你推荐
资讯 Pi3K新突破,皮下新生态,罗氏携手各界共见乳腺癌创新诊疗未来
罗氏制药中国召开“Pi3K新突破&皮下新生态——乳腺癌创新发布会”,乳腺癌管线创新靶向药物集体亮相进博舞台
2025-11-08 19:53
资讯 美敦力康辉亮相第八届进博会,AiBLE™数智生态加速进化拓维
作为连续八年参展进博的“全勤生”,美敦力康辉携AiBLETM数智创新生态重磅亮相,并以“智汇·新生态”为主题,集中展示自2023年AiBLE™首秀进博以来,其在数智创新、产业协作与...
2025-11-08 14:09
资讯 索诺瓦进博会亚洲首展峰力AI人工智能太极全能系列助听器, “双芯协同超算力”突破听力健康新想象
全球同步,亚洲首发,中国首展,索诺瓦峰力强力推出AI人工智能太极全能系列助听器,开启AI超算力助听时代
2025-11-08 11:56
资讯 诺和诺德“诺和关怀”发布鸿蒙版APP与减重专属版
11月7日,第八届中国国际进口博览会期间,诺和诺德宣布2023年组建的“健康生态联盟”扩容升级,将与更多数字生态圈伙伴在生态融合、数据互联、技术共创方面展开深度合作。
2025-11-07 23:16
资讯 凯西罕见病事业部首秀进博会
凯西集团是一家以研发为基石、拥有九十年历史的意大利国际制药集团,覆盖呼吸道健康、罕见疾病和专科治疗三大领域,其专利数量在意大利药企中排名首位,公司每年投入超20%营收至...
2025-11-07 22:58
资讯 卒中知晓周于进博会启幕,Pipeline™持续助力中国脑血管疾病治疗创新
美敦力神经介入部门以“深耕廿载·向美而行”为主题举办专场活动,并正式启动“卒中知晓周”倡导行动。
2025-11-07 22:48
资讯 诺华公司携手腾讯新闻《超级问诊》亮相进博会,多方合力破解心血管慢病“管理难题”
在第八届中国国际进口博览会现场,腾讯新闻联合诺华公司共同举办了《超级问诊》进博会特别场
2025-11-07 18:44
资讯 美敦力CathWorks实验室开放日丨CathWorks FFRangio系统正式发布!开启心血管诊疗智能新时代
2025年11月6日,第八届中国国际进口博览会期间,美敦力CathWorks实验室开放日重磅启幕
2025-11-07 18:08
资讯 创新技术赋能高血压防治——美敦力进博会圆桌共议难治性高血压管理新路径
来自临床、公共卫生、政策研究及行业领域的多位专家汇聚一堂,共同探讨创新疗法RDN(肾动脉交感神经消融术)在中国高血压防治体系中的临床应用、卫生经济学价值及未来发展方向。
2025-11-07 17:43
资讯 依视路星趣控全“星”解决方案闪耀进博会舞台
第八届中国国际进口博览会期间,作为依视路陆逊梯卡旗下领先的儿童青少年近视管理品牌,“进博宝宝”依视路星趣控携全“星”解决方案重磅亮相
2025-11-07 12:42
资讯 可充电、可感知闭环脑起搏器Percept™ RC亮相第八届进博会,应用脑机接口技术造福帕金森病患者
作为全球脑起搏器领域的重磅产品,美敦力可充电、可感知闭环脑起搏器Percept™ RC亮相第八届中国国际进口博览会。
2025-11-07 11:24



















