肺癌每年引起全球169万人死亡,占癌症死亡的20%-25%。早期筛查能够明显改善人群预后,但绝大多数国家都疏于对肺癌的筛查。
当前美国USPSTF批准的肺癌筛查指南,对于肺癌风险的评估,仅根据个体的吸烟史进行考量。
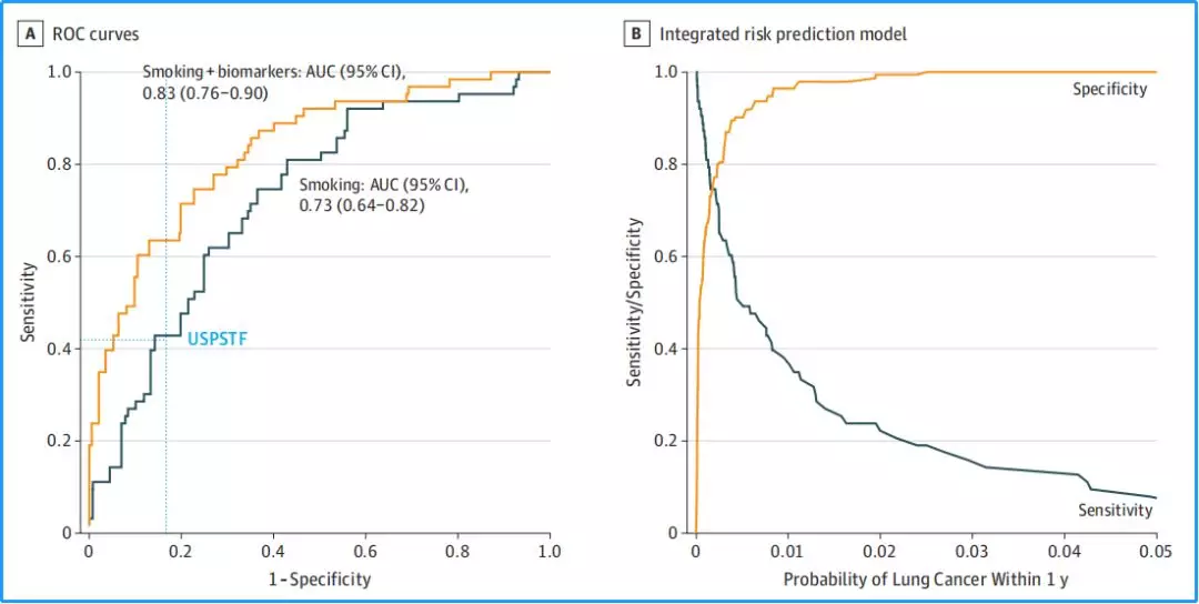
USPSTF指南要求年龄介于55-80岁之间的吸烟者,至少有30包/年吸烟史,如已经戒烟则戒烟时间未超过15年的个体接受低剂量螺旋CT筛查。
然而,最新发表在JAMA Oncology期刊上的研究表明,一种新型的血液检测方法,只需检测血液中的四种蛋白质生物标志物,就能够比当前指南更有效的针对个体肺癌风险进行评估。
更加令人惊喜的是,与USPSTF根据重度吸烟者年龄和吸烟史进行肺癌筛查的指南相比,血液生物标志物的检测灵敏度更高,通过后期发展为肺癌的人群数据证实,这种检测方法的假阳性概率并没有比当前指南的评估方法更高。
目前,这项简单的血液检测技术已经显示出巨大的潜力,以这项技术为基础的肺癌风险评估,能够更加精确的识别更多应接受低剂量螺旋CT肺癌筛查的吸烟者,即使他们在吸烟史评估中并没有被认定为高风险人群,只要他们的生物标志物测出来的评分过低,也会被认定为与重度吸烟者具有同样高的肺癌风险。
与先前绝大多数研究不同,这项研究的注重点并不在于比较早期肺癌患者与健康人群的差异,来寻找预测肺癌的生物标志物,而是着重努力寻找肺癌发病之前血样中有效的生物标志物。
为了开发这项血液检测技术,研究人员对108例有过吸烟史的人群的血液样本进行分析,而这些患者在血样采集后一年内出现了肺癌,另有216例吸烟对照人群进行比较。所有受试者成员均来自北美开展的肺癌预防试验:胡萝卜素和视黄醇疗效试验(CARET)。
因为将患有肺癌的吸烟者与没有患肺癌的吸烟者比较后,研究人员发现这两组人群在某些生物标志物上是存在差异的,所以研究人员认为,吸烟状态并不是评判患癌与否的唯一要素。
然后,研究人员将肺癌人群与健康正常人群进行比较,也发现了类似的差异。
通过千辛万苦的分析,研究人员发现,差异来自于血液中的这四种蛋白质:
表面活性蛋白B(Pro-SFTPB)的前体;
癌抗原125(CA125);
细胞角蛋白19片段(CYFRA 21-1);
癌胚抗原(CEA)。
在两项大型欧洲队列研究中,研究人员根据初始血样,对63例一年内吸过烟的肺癌人群,以及90例对照人群进行比较,以此来对生物标志物预测肺癌的模型进行验证性研究。研究人员比较了基于吸烟史的肺癌风险评估模型,与生物标志物+吸烟史的综合评估模型。
在两种风险评估模型假阳性率相当的情况下,生物标志物联合吸烟史的综合评估模型,预测准确率达到63%(40/63),而基于吸烟史的肺癌评估模型,预测准确率则为42%(20/62)。血液检测能够捕获更多以往遗漏的风险人群!
此外,在验证研究中,两种方法单独PK,基于吸烟史的评估模型也未能赢过仅仅依照血液检测结果的肺癌风险评估模型。验证研究所有受试者成员均来自欧洲癌症与营养前瞻性研究(EPIC)、瑞典北部健康与疾病研究(NSHDS)。
最后,研究人员表示,他们的检测方法需要在更大的人群研究中进行验证,目前,他们正在与FDA磋商下一步的安排。
参考文献:
Assessment of Lung Cancer Risk on the Basis of a Biomarker Panel of Circulating Proteins
doi:10.1001/jamaoncol.2018.2078
来源:医世象
作者:皮皮象
来源:医世象 作者: 皮皮象
为你推荐
资讯 百度智能云加码银发经济:大模型破解养老供需错配难题
当居家养老还停留在“人找服务”的传统模式时,以大模型与AI Agent为代表的智能技术,正在掀起一场全新变革,服务开始主动理解需求,并精准触达每一位老人。
2026-03-27 17:24
资讯 优赫得®序贯THP方案在华获批用于HER2阳性早期乳腺癌新辅助治疗,实现该适应症“全球首发”
此次获批使优赫得®迈向早期乳腺癌,成为首个且唯一*获批HER2阳性乳腺癌新辅助治疗的ADC疗法
2026-03-27 17:16
资讯 医疗服务价格项目立项指南解读辅导(第1期)
长期以来,医疗服务价格实行属地管理,由地方医药价格主管部门制定价格项目、确定价格水平,地区间价格项目数量、内涵、颗粒度差异较大,部分地区按操作流程、岗位分工等拆分价...
2026-03-27 11:21
资讯 社保“第六险”,长期护理险全国落地
3月25日,中共中央办公厅、国务院办公厅发布《关于加快建立长期护理保险制度的意见》,标志着这项被称作社保“第六险”的制度正式结束10年试点,迈向全国建制新阶段。
2026-03-26 18:09
资讯 国家药监局发布《药品现代物流规范化建设指导意见》,自发布之日起施行
本指导意见是对申请开办药品批发企业(以下简称批发企业)和接受委托储存运输药品业务的第三方药品现代物流企业(以下简称第三方物流企业),在药品现代物流设施设备等方面的基...
2026-03-26 10:14
资讯 华东医药独家商业化VC005片Ⅲ期临床顶线数据积极,抢占自免口服疗法新高地
华东医药战略合作方江苏威凯尔医药科技股份有限公司(简称“江苏威凯尔”)宣布,其自主研发的Ⅱ代高选择性JAK1抑制剂VC005片在口服治疗中重度特应性皮炎(AD)的Ⅲ期临床研究中...
2026-03-25 18:52
资讯 Cytiva携手上海临床研究中心与新叶生维, 加速先进细胞治疗临床应用转化与产业化发展
Cytiva与上海临床研究中心签署战略合作备忘录,共同设立先进细胞治疗技术临床应用示范平台,以产学研协同为牵引,带动区域产业升级。
2026-03-25 18:46
资讯 国家药监局批准两款创新医疗器械
近日,国家药品监督管理局批准了两款创新医疗器械上市。分别为阿迈特医疗器械(北京)股份有限公司二氧化碳造影压力注射套装创新产品注册申请和应脉医疗科技(上海)有限公司经...
2026-03-25 14:53
资讯 甘李药业博凡格鲁肽新适应症获批IND
近日,甘李药业股份有限公司及其全资子公司甘李药业山东有限公司宣布,其自主研发的博凡格鲁肽(研发代号:GZR18)注射液增加新适应症的临床试验申请获得国家药监局批准。拟用于...
2026-03-25 14:38
资讯 茵菲多组学完成5100万元Pre-A轮融资,构建“硬件+AI+试剂”一体化技术壁垒
本轮融资由杭州新干世业、三泽资本、泰煜投资、德华创投共同参与,丰和资本担任独家财务顾问
2026-03-24 12:59
资讯 赶早赴约,忆路守护 礼来携手清华大学阿尔茨海默病科普创意大赛圆满收官
今日,由礼来主办,清华大学承办的 “赶早赴约,忆路守护” 阿尔茨海默病(AD)科普创意大赛颁奖典礼在清华大学圆满落幕。
2026-03-23 17:48














