10月16日,世卫组织举行新冠肺炎例行发布会,世卫组织总干事谭德塞表示,“团结试验”中期结果表明,瑞德西韦、羟氯喹、洛匹那韦/利托那韦和干扰素疗法似乎对住院患者28天死亡率或住院病程几乎没有影响。目前对新冠肺炎重症患者来说,地塞米松仍是唯一有效的药物。
“团结试验”是目前全球规模最大的随机对照适应性临床试验设计,于今年3月启动,旨在通过比较不同药物或药物组合治疗新冠的安全性和有效性,以尽快找到有效治疗方法,试验研究内容包括这些药物及疗法对住院患者总体病亡率、启用呼吸设备及住院时间等方面的影响等。目前世卫组织在预印本网站medRxiv发布了这项试验的相关数据。
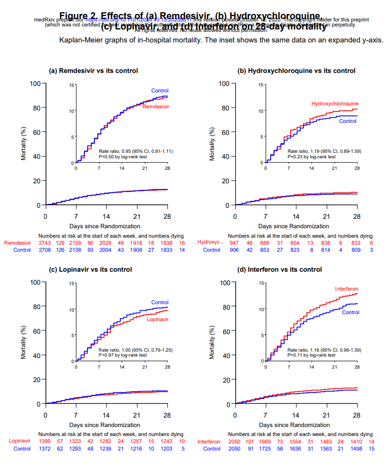
该研究涉及全球30多个国家,共有400家医院的1.1万多名患者参与,随机选择一定数量的患者分别使用瑞德西韦、羟氯喹、洛匹那韦、干扰素、干扰素加洛匹那韦治疗,剩余患者则不使用试验药物作为对照。受试患者中使用瑞德西韦的患者数量最多,为2750名,羟氯喹954名,洛匹那韦1411名,干扰素1412名,干扰素加洛匹那韦651名。
数据显示,每种药物与对照组的患者死亡率之比为:
瑞德西韦RR=0.95,瑞德西韦组2743名重症患者中301人死亡,对照组2708名重症患者中则303人死亡;
羟氯喹RR=1.19,羟氯喹组947名重症患者中104人死亡,对照组906名重症患者中84人死亡;
洛匹那韦RR=1.00,洛匹那韦组1399名重症患者中148人死亡,对照组1372名重症患者中146人死亡;
干扰素RR=1.16 ,干扰素2050名重症患者中243人死亡,对照组2050名重症患者中216人死亡.
研究结果显示,4种药物中没有1种能明确降低死亡率或减少患者对呼吸机的依赖,4种药物28天死亡率对比,瑞德西韦与对照组28天试验期死亡率曲线高度重合,几乎无明显差距,其他几种药物的结果也大同小异,死亡率没有明显差异。
西奈山伊坎医学院病毒学家Benjamin tenOever表示:“新冠晚期治疗非常困难,问题更多的是关于炎症和凝血,这可能是这4种药物疗法没有多大价值的原因。”
目前这些研究数据尚未经过学术界的同行评审。不过,世卫组织聘请了独立统计学家Richard Peto验证了其临床试验的结果。佩托认为,该试验的规模和设计非常可靠,“就获得可靠的随机分组和可靠的随访而言,这项数据的质量是极好的,这是现实世界的证据。”
而对于“人民的希望”瑞德西韦在该项试验中显示的效用,吉利德称试验及受试患者情况的不同可能影响结果。吉利德在声明中表示,WHO的临床数据似乎与同行评议期刊上发表的研究数据不一致,而这些研究极为可靠,已经证明了瑞德西韦的临床效果,“我们担心这项全球试验的数据没有经过严格的审查,尤其考虑到试验设计可能有局限性,因此目前还不清楚是否能从研究结果中得出任何结论性的发现。”
据第一财经报道,一位研究埃博拉药物的专家表示,“吉利德公司自己的数据在公正性方面是有争议的”,“世卫组织的试验规模更大,更重要的是结果中立。”而英国利物浦大学药理学专家Andrew Hill则表示,“吉利德的试验最初只报道了短期数据。但是,当加上长期随访结果时,使用瑞德西韦患者的死亡率就开始上升。”
此外,世卫组织称吉利德10月6日就得知了“团结试验”临床研究结果,但该公司并不认同这项结果。吉利德对媒体表示在9月下旬收到了世卫组织一份“大量删节的手稿”,其中一些信息与世卫组织最新发表的研究结果不同。
目前,世卫组织尚未对此做出回应。
不过,不论瑞德西韦是否有效,目前吉利德已于10月8日与欧洲委员会签署了10亿美元协议,将提供6个月的瑞德西韦供应,不过世卫组织临床试验结果公布后,欧盟方面表示正在重新考虑该采购合同。在美国,FDA于5月授权瑞德西韦紧急使用于重症患者,更在8月将使用许可范围扩大到了轻症患者,美国总统特朗普也在感染新冠后接受过瑞德西韦治疗,当然他还同时使用了鸡尾酒疗法、地塞米松等。
鉴于已测试的这4种药物的表现,世卫组织16日表示,目前对新冠肺炎重症患者来说,地塞米松仍是唯一有效的药物。
此外,世界卫生组表示将继续评估其他疗法如新的抗病毒药物、免疫调节剂和抗新冠单克隆抗体等。
来源:医谷网
为你推荐
资讯 国际SOS荣膺“2026年度全球杰出雇主”
今日,国际SOS宣布,公司连续第八年荣获杰出雇主调研机构(Top Employers Institute)授予的杰出雇主认证。
2026-02-05 14:42
资讯 默克高管周虹离任,诺和诺德官宣在即,医药行业再迎关键人事变动
默克医药健康全球执行副总裁、中国及国际市场负责人周虹正式离任,其将加盟丹麦制药巨头诺和诺德,接任产品与组合战略执行副总裁一职
2026-02-05 11:58
资讯 104亿元!2026年小核酸领域首笔出海BD诞生
圣因生物与罗氏集团旗下子公司基因泰克达成全球研发合作与许可协议,双方将基于圣因生物专有的RNAi药物研发平台,共同推进一款RNAi疗法的开发。
2026-02-05 11:50
资讯 合成生物企业桦冠生物宣布完成数亿元C轮融资
本轮融资由软银欣创、顺禧基金、常州启航合成生物创投基金、国投创益、长江资本等多家知名机构联合投资,光源资本担任财务顾问,所融资金将重点投向医药与大健康领域新品研发、...
2026-02-04 11:50
资讯 AI制药独角兽深度智耀完成6000万美元新一轮融资,加速全栈式研发解决方案落地
本轮融资吸引了信宸资本、金镒资本、凯泰资本等新投资方入局,老股东鼎晖百孚、新鼎资本持续追加投资
2026-02-03 20:03
资讯 济川药业联合康方生物,共拓心血管创新药商业化新局
伊喜宁®(伊努西单抗注射液)是康方生物自主开发创新的PCSK9单克隆抗体新药,于2024年9月获批上市,用于治疗原发性高胆固醇血症和混合型高脂血症,包括杂合子家族性高胆固醇血...
2026-02-03 19:34
拜耳诺倍戈®第三项适应症在中国获批,用于治疗转移性激素敏感性前列腺癌(mHSPC)
诺倍戈®此前已先后获批用于治疗有高危转移风险的非转移性去势抵抗性前列腺癌(NM-CRPC)成年患者,和联合多西他赛治疗转移性激素敏感性前列腺癌的(mHSPC)成年患者。
2026-02-03 18:42
资讯 又一款老花眼滴眼液获批,市场有待检验
近日,Tenpoint Therapeutics宣布,美国FDA已批准Yuvezzi(carbachol和brimonidine tartrate滴眼液,2 75% 0 1%),用于治疗成人老花眼。
2026-02-02 14:06
资讯 深度缓解数据惊艳:基于诺奖机制的 CELMoD药物如何重塑 MM 治疗逻辑?
近期,国家药品监督管理局药品审评中心(CDE)将CELMoD药物 iberdomide (以下简称:IBER)纳入优先审评名单并启动优先审评程序,拟批准
2026-02-02 13:22
资讯 儿童生长发育专业、儿童营养专业、儿童皮肤疾病专业纳入北京互联网诊疗首诊试点
经研究,同意你委依托首都医科大学附属北京儿童医院和首都医科大学附属首都儿童医学中心开展儿童生长发育专业、儿童营养专业、儿童皮肤疾病专业互联网诊疗首诊试点。
2026-01-31 23:34
资讯 诺和诺德大中国区换帅:周霞萍3月底离任,“老兵”蔡琰接棒
1月30日,全球制药巨头诺和诺德正式对外宣布重大人事变动,其全球高级副总裁兼大中国区总裁周霞萍决定离开公司,最后工作日为2026年3月31日
2026-01-31 17:36
资讯 思璞锐SciBrunch完成超3500万美元Pre-A轮融资,一年内两轮合计募资6500万美元
本次Pre-A轮融资由生物医药领域知名投资机构弘晖基金(HLC)领投,InnoPinnacle Fund跟投,同时获得老股东汉康资本、博远资本、LongRiver江远投资及骊宸投资的持续加码支持。
2026-01-31 17:30
资讯 阿斯利康宣布将于2030年前在华投资逾1000亿元人民币,与石药集团达成超百亿美元战略合作
1月29日,阿斯利康宣布,计划于2030年前在中国投资逾1000亿元人民币(150亿美元),以扩大在药品生产与研发领域的布局。公司将充分发挥中国的科研优势和先进制造能力,并依托中...
2026-01-30 13:00









