今日,上海阳光药品采购网发布官方通知宣布:自2022年2月18日起,联合采购办公室开展第七批国家组织药品集中采购相关药品信息填报工作。
属于本次药品填报范围并满足药品要求的相关企业需做到:提供药品及伴随服务的国内药品生产企业,药品上市许可持有人,境外药品上市许可持有人境内代理人。
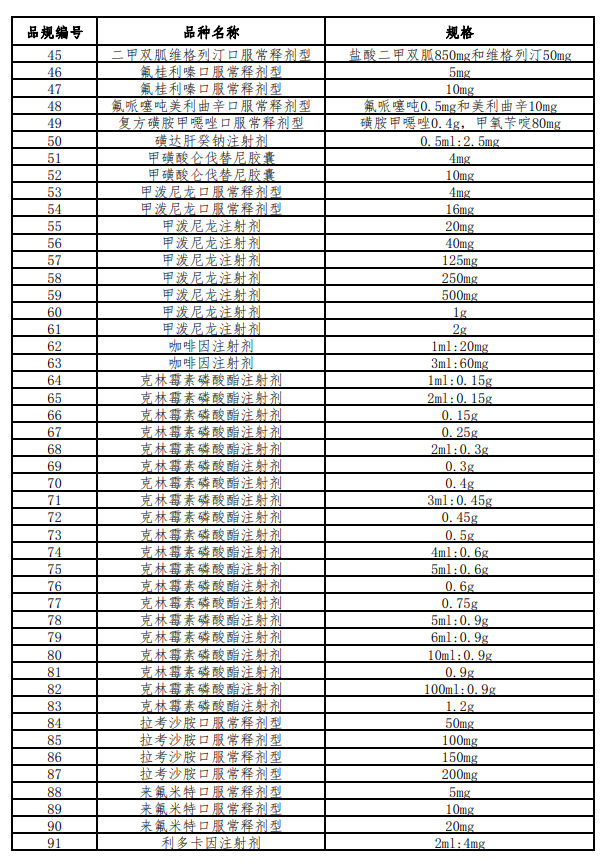
从药品填报范围来看,此次国采共涉及58个品种,208个品规,覆盖奥美拉唑、依达拉奉、奥司他韦、美罗培南、美托洛尔等大品种,聚焦全身抗感染药物、慢性病用药、肿瘤治疗药物等多领域常见药品。同时,本次集采竞争激烈,部分产品过评企业已经达到10家以上。
各药品相关企业:
为做好第七批国家组织药品集中采购工作,进一步优化工作流程,建立常态化工作机制,自2022年2月18日起,联合采购办公室开展第七批国家组织药品集中采购相关药品信息填报工作,现将有关事项通知如下:
一、药品要求
属于药品填报范围(详见附件)并获得国内有效注册批件的上市药品,且满足以下要求之一:
1、原研药及国家药品监督管理局发布的仿制药质量和疗效一致性评价参比制剂。
2、通过国家药品监督管理局仿制药质量和疗效一致性评价的仿制药品。
3、根据《国家食品药品监督管理总局关于发布化学药品注册分类改革工作方案的公告》〔2016年第51号〕或《国家药监局关于发布化学药品注册分类及申报资料要求的通告》〔2020年第44号〕,按化学药品注册分类批准,并证明质量和疗效与参比制剂一致的仿制药品。
4、纳入国家药品监督管理局药品审评中心《化学药品目录集》的药品。
二、企业要求
属于本次药品填报范围并满足药品要求的相关企业,包括:提供药品及伴随服务的国内药品生产企业,药品上市许可持有人,境外药品上市许可持有人境内代理人。上述所称的代理人,是指按照国家有关部门关于境外药品上市许可持有人境内代理人管理规定,取得我国药品注册证书的境外持有人依法指定,代表其履行法律法规规定的药品上市许可持有人义务的中国境内企业法人。
三、填报内容
1、生产企业、药品上市许可持有人、境外药品上市许可持有人境内代理人的证明材料(包括企业名称、统一社会信用代码、联系人、授权书等)。
2、符合药品要求的证明材料(包括药品注册批件、补充注册批件、说明书等)。
3、产能及原料药自产说明等。
四、注意事项
1、填报方式:请登陆“国家组织药品集中采购综合服务平台”(网址:http://pub.smpaa.cn/xxsj)进行企业注册及信息填报。新用户需选择“资质维护用户”身份进行注册;已有“资质维护用户”账号的,需要重新提交与本次集采相关的资质文件,待审核通过后方可进行“品种信息”维护。用户账号长期有效无需重复注册。
2、审核通过的药品信息经企业确认将生成《申报信息一览表》,作为第七批国家组织药品集中采购的申报依据,请正确填写相关信息。具体要求以采购文件规定为准。
3、联系方式:021-31773244、31773255、31773266
(服务时间8:30-11:30,13:30-16:30,节假日除外)
特此通知。
附件:药品填报范围
联合采购办公室
2022年2月17日
为你推荐
资讯 中国制药装备行业协会副秘书长遆倩鹤涉嫌严重违法,正接受监察调查
2月6日,中央纪委国家监委网站讯 据中央纪委国家监委驻中央社会工作部纪检监察组、海南省纪委监委消息:中国制药装备行业协会副秘书长遆倩鹤涉嫌严重违法,目前正接受中央纪委...
2026-02-07 22:13
资讯 CDE:化学仿制药透皮和局部给药系统黏附性和刺激性/致敏性评估临床试验技术指导原则(试行)
本指导原则适用于TDS化学仿制药。常见适用TDS包括可能描述或称为贴片、透皮贴剂或缓释膜固态制剂产品。应用本指导原则时,请同时参考药物临床试验质量管理规范(GCP)国际人用药...
2026-02-07 13:48
资讯 诺华可善挺(司库奇尤单抗)放射学阴性中轴型脊柱关节炎(nr-axSpA)新适应症在华获批
适用于治疗对非甾体类抗炎药(NSAID)应答不佳的活动性放射学阴性中轴型脊柱关节炎成人患者(其客观征象表现为C反应蛋白(CRP)升高和 或磁共振成像(MRI)证据)
2026-02-06 15:54
资讯 天津市互联网诊疗监管实施办法(试行)
医疗机构应当主动与市级监管平台对接,及时上传、更新《医疗机构执业许可证》等相关执业信息,主动接受监督。医疗机构取得《医疗机构执业许可证》后或《医疗机构执业许可证》变...
2026-02-06 08:59
资讯 八部委发布《中药工业高质量发展实施方案(2026—2030年)》
培育60个高标准中药原料生产基地。协同体系更加健全,中药材种植加工、中药研发生产、流通服务等上下游各环节协同更加紧密,建设5个中药工业守正创新中心,推动一批中药创新药获...
2026-02-05 21:21
资讯 国家医保局今年将重点对精神类定点医疗机构开展专项飞检
各省级医保部门要组织本辖区内所有精神类定点医疗机构从即日起全面开展自查自纠,重点聚焦但不限于诱导住院、虚假住院、虚构病情、虚构诊疗、伪造文书、违规收费等违法违规使用...
2026-02-05 17:13
资讯 国际SOS荣膺“2026年度全球杰出雇主”
今日,国际SOS宣布,公司连续第八年荣获杰出雇主调研机构(Top Employers Institute)授予的杰出雇主认证。
2026-02-05 14:42
资讯 默克高管周虹离任,诺和诺德官宣在即,医药行业再迎关键人事变动
默克医药健康全球执行副总裁、中国及国际市场负责人周虹正式离任,其将加盟丹麦制药巨头诺和诺德,接任产品与组合战略执行副总裁一职
2026-02-05 11:58
资讯 104亿元!2026年小核酸领域首笔出海BD诞生
圣因生物与罗氏集团旗下子公司基因泰克达成全球研发合作与许可协议,双方将基于圣因生物专有的RNAi药物研发平台,共同推进一款RNAi疗法的开发。
2026-02-05 11:50
资讯 合成生物企业桦冠生物宣布完成数亿元C轮融资
本轮融资由软银欣创、顺禧基金、常州启航合成生物创投基金、国投创益、长江资本等多家知名机构联合投资,光源资本担任财务顾问,所融资金将重点投向医药与大健康领域新品研发、...
2026-02-04 11:50
资讯 AI制药独角兽深度智耀完成6000万美元新一轮融资,加速全栈式研发解决方案落地
本轮融资吸引了信宸资本、金镒资本、凯泰资本等新投资方入局,老股东鼎晖百孚、新鼎资本持续追加投资
2026-02-03 20:03
资讯 济川药业联合康方生物,共拓心血管创新药商业化新局
伊喜宁®(伊努西单抗注射液)是康方生物自主开发创新的PCSK9单克隆抗体新药,于2024年9月获批上市,用于治疗原发性高胆固醇血症和混合型高脂血症,包括杂合子家族性高胆固醇血...
2026-02-03 19:34
拜耳诺倍戈®第三项适应症在中国获批,用于治疗转移性激素敏感性前列腺癌(mHSPC)
诺倍戈®此前已先后获批用于治疗有高危转移风险的非转移性去势抵抗性前列腺癌(NM-CRPC)成年患者,和联合多西他赛治疗转移性激素敏感性前列腺癌的(mHSPC)成年患者。
2026-02-03 18:42














