2014年,强生以17.5亿美元收购了位于加州的生物制药公司Alios BioPharma。这项交易将可以让强生获得一系列潜在的病毒感染治疗药物,包括口服药物ALS-008176。这款抗病毒治疗药物有可能成为一款新类型药物,用于婴儿呼吸道合胞病毒(RSV)治疗,此前,该药物正处于II期临床研究中。
但由于试验结果欠佳,强生近日已经宣布终止其II期试验,并评估该药物是否还有继续研发的价值。
ALS-008176是RSV复制抑制剂ALS-008112的一种口服生物可利用前体药物,ALS-008112是一种胞嘧啶核苷类似物,通过作用于病毒聚合酶抑制RSV复制;即使呼吸道细胞已经被RSV感染,ALS-008176仍能够有效抑制RSV复制。这也意味着,即便在RSV感染的较晚阶段用药,该药仍能够发挥抗病毒,有望成为RSV感染临床治疗中一种安全有效的药物。
美国疾病控制和预防中心的统计显示,在美国,RSV是1岁以下婴幼儿肺部气管炎症以及肺炎的最常见病因,平均每年有150万名五岁以下儿童因为RSV感染而需要就医。在婴幼儿群体中,RSV是导致严重呼吸道疾病的主要原因,同时也是工业化国家患者住院的最常见原因。此前公布的IIa期研究奠定了ALS-008176在健康成人群体中抗病毒作用的人体概念验证,同时也揭示了该药在自然感染患者临床治疗中的潜力。
强生之所以收购该公司,主要也是由于该药物发布的IIa期研究积极结果。该研究为一项随机双盲对照临床试验,将RSV接种于62名健康人群。然后将研究对象随机分为两组:一组接受口服核苷类似物ALS-008176,一组接受安慰剂。确定研究对象RSV感染成功后12小时或接种RSV后6天,受试者开始服用ALS-008176或安慰剂。用药时间为5天,每12个小时给药一次。在整个为期28天的研究期间,测量所有研究对象的病毒载量、疾病的严重程度、耐药性和安全性,试验开始前就已开始此测量。主要终点为病毒载量AUC曲线下面的面积,是在研究对象接种RSV后第12天内首次给药之前即刻进行评估。
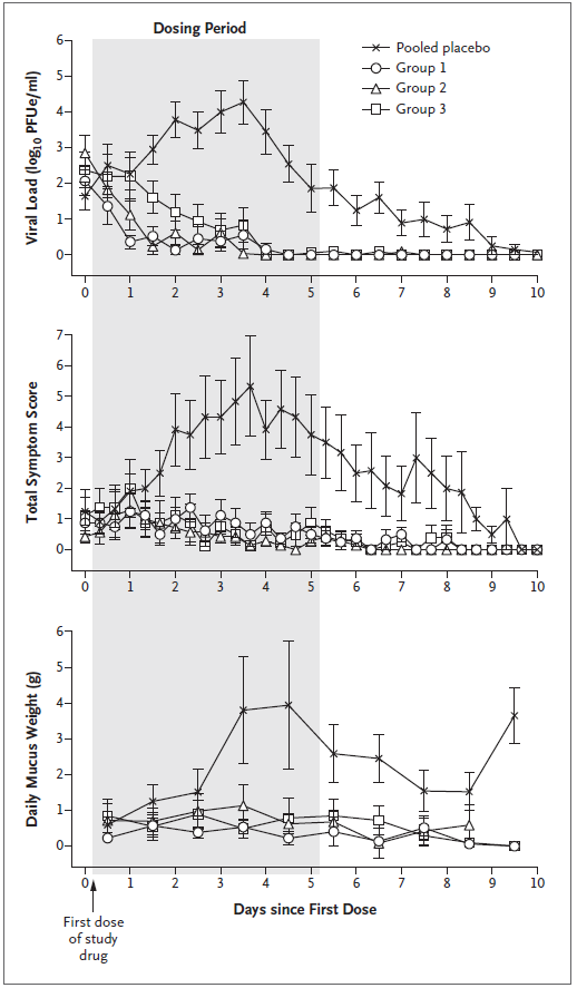
研究结果发现,与安慰剂相比,接受ALS-008176治疗的研究对象其病毒载量显着降低、病毒的清除率明显更快。此外,PCR分析显示,在安慰剂组病毒载量达到峰值时,接受ALS-008176的三个治疗组的平均病毒载量、AUC症状评分以及呼吸道分泌物总量显着降低于安慰剂组。其抗病毒活性在两个负荷量较大的组中RSV的清除速度最快,清除率最大,且病毒载量较安慰剂组下降了85%~88%。研究并未出现严重的不良反应,也没有必要过早停止研究药物。
ALS-008176IIa期研究病毒载量、症状评分和每日粘液重量随时间的变化
然而在收购后,该药物得到的试验结果却无法令人满意。医药巨头强生在美国证券交易委员会的一份文件中透露,公司第三季度计入了一笔6.3亿美元的减损支出,这笔支出与其收购的Alios Biopharma的关键药品有关。公司还警告称,可能会对该资产进行进一步减值。
强生今年稍早暂停了ALS-008176的IIb期临床试验,等待第二季度试验结果的分析结果。强生表示,公司在第三季度收到了更多信息,促使其重新评估ALS-008176作为17亿美元研发资产的账面价值。在完成分析后,强生将重新评估该药物在制品研发资产中的价值。如果开发时间表明显延迟或被放弃,公司可能会产生减值费用。
强生发言人表示,该药物的IIb阶段的试验已经被废弃。这一决定是由于对新的临床前数据的持续分析以及进行进一步临床前研究的需要。预计这些数据的生成和分析仍需要额外的时间。(新浪医药编译/范东东)
文章参考来源:
1、UPDATED: J&J takes a $630M asset hit on the books, shuttering PhIIb trials as its $1.75B RSV drug teeters on the brink
2、J&J STALLS DEVELOPMENT OF ANTIVIRAL FROM ALIOS DEAL
3、Activity of Oral ALS-008176 in a RespiratorySyncytial Virus Challenge Study
4、J&J Goes Viral with $1.75B Alios BioPharma Acquisition
来源:新浪医药新闻
来源:新浪医药新闻
为你推荐
资讯 先声药业一款双抗在研药物10.58亿欧元授权勃林格殷格翰
1月26日,先声药业发布公告称,与勃林格殷格翰达成一项许可与合作协议,双方将共同开发先声药业的临床前阶段TL1A IL23p19双特异性抗体SIM0709,用于炎症性肠病(IBD)的治疗。
2026-01-27 17:55
资讯 国家卫健委:新型抗肿瘤药物临床应用指导原则(2025年版)
新型抗肿瘤药物的一个显著特征是出现一批针对分子异常特征的药物——即分子靶向药物。 目前,根据是否需要做靶点检测,可以将常用小分子靶向药物、大分子单抗类药物以及小分子...
2026-01-27 11:46
资讯 CDE:针对泛肿瘤的抗肿瘤药物临床研发技术指导原则
泛肿瘤是从肿瘤起源和病因学等角度,将多种组织来源的肿瘤视为同一类疾病,并且寻求相同的治疗手段。当针对共有的分子改变开发药物时,不同肿瘤的患者均有可能从相同的药物治疗...
2026-01-25 18:54
资讯 病毒“突变”不等于更强生存力——华山张文宏教授团队发现:敏感性下降,往往伴随适应性下降
玛巴洛沙韦敏感性降低的突变发生率仍然极低(0 05%),未发现典型的I38T耐药突变。
2026-01-24 12:22
资讯 箕星药业宣布成功完成D1轮2.87亿美元融资,推进口服GLP-1药物开发
1月22日消息,箕星药业有限公司(Corxel Pharmaceuticals Limited)宣布已成功完成D1轮融资,募集资金高达2 87亿美元。
2026-01-23 18:00
资讯 基因启明完成亿元天使轮融资,加码iNKT细胞疗法研发与临床转化
本轮融资由人合资本独家投资。融资资金将重点用于推进公司核心iNKT细胞药物的临床试验进程,同时加速新管线的研发拓展与技术平台升级。
2026-01-23 14:05
资讯 商务部、国家发改委、国家卫健委、国家医保局等9部门印发促进药品零售行业高质量发展的意见
鼓励符合监管要求的实体医疗机构、互联网医院与药品零售企业依托电子处方流转平台进行处方流转。鼓励建设非医保药品自费处方电子流转平台,规范和完善相关药学服务。
2026-01-23 11:04
资讯 诺和诺德聚焦零售药店体重管理服务,启动“零售科学减重生态联盟”
1月22日,诺和诺德在福州举办超越·共盈——诺和诺德零售生态伙伴大会,大会汇聚连锁零售药店管理层、临床专家、资深药师、行业智库、零售生态合作伙伴等多方力量,正式启动零...
2026-01-22 21:53
资讯 优赫得在华获批治疗既往接受过一种含曲妥珠单抗治疗方案的局部晚期或转移性HER2阳性成人胃或胃食管结合部腺癌患者
基于DESTINY-Gastric04 III期试验结果,与雷莫西尤单抗+紫杉醇相比,优赫得®可为患者带来具有显著统计学差异和临床意义的总生存期(OS)改善,两年OS率实现翻倍
2026-01-22 17:53
资讯 传奇生物CAR-T细胞药物 Carvykti(西达基奥仑赛)2025年销售额18.87 亿美元,同比增长 95.9%
强生2025年全年收入达到941 93亿美元,同比增长6%,净利润268 04亿美元,同比增长90 6%,调整后净利润262 15亿美元,同比增长8 1%。
2026-01-22 16:48
资讯 从收费难题到医保立项:机器人诊疗迎来普及拐点
2025年12月5日,国家医保局向各省医保局下发了《手术和治疗辅助操作类医疗服务价格项目立项指南(征求意见稿)》,用于在医保体系内部征求意见。
文/梁瑜 2026-01-21 16:48
资讯 英矽智能6600万美元授权一款具有穿透血脑屏障的潜在在研抗炎药物
1月20日,英矽智能发布公告称,与深圳衡泰生物科技有限公司就 ISM8969 项目达成共同开发合作协议。
2026-01-21 15:42
资讯 国家医保局规范手术和治疗辅助操作类医疗服务价格,手术机器人有了系统明确收费指引
近日,国家医保局编制印发《手术和治疗辅助操作类医疗服务价格项目立项指南(试行)》,将已有价格项目规范整合为37项,覆盖医学3D重建、生物3D打印、术中显微成像、手术路径导...
2026-01-21 15:12









