随着癌症诊疗的发展创新,过去20年来,癌症患者的生存率不断提高,部分癌症正在逐渐成为可以控制的慢性疾病。为了全面了解癌症控制的最新趋势,国际癌症研究机构(IARC)领导的一项研究统计了1995年-2014年期间高收入国家7种常见癌症的生存情况进展,近日在《柳叶刀·肿瘤学》正式在线发表。
截图来源:The Lancet Oncology官网
这项研究名为高收入国家癌症生存项目(ICBP SURVMARK-2),由临床医生、学者、政策制定者等全球多学科人员共同合作参与,在澳大利亚、加拿大、丹麦、爱尔兰、新西兰、挪威和英国7个国家开展。研究重点关注7种常见高发癌症,包括食管癌、胃癌、结肠癌、直肠癌、胰腺癌、肺癌和卵巢癌。通过各国共21个癌症登记处的数据,研究团队全面收集了1995年-2014年期间被诊断出以上癌症的共390万癌症患者的发病率、死亡率及生存率,并对患者随访至2015年12月31日。
研究关注的最核心指标是5年生存率,也就是确诊癌症后,活过5年的患者比例。
数据显示,20年来,所有7个国家的7种常见癌症生存率均有所增加。从目前数据而言,结直肠癌的预后最好,5年生存率约60%-70%;其次为卵巢癌,5年生存率约35%-45%。最“夺命”的仍为号称“癌症之王”的胰腺癌,大多数国家的5年生存率不足10%。
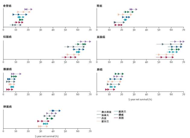
995年 - 2014年不同时期确诊癌症患者的5年生存率(图片来源:参考资料[1],翻译:医学新视点)
在所有常见癌症中,5年生存率改善最明显的是结直肠癌:
1995年-1999年期间,有48%-59%的直肠癌患者在确诊后能够存活超过5年,对于2010年-2014年期间确诊的患者,这一比例已经上升到了62%-71%。
结肠癌的生存率略低一些,但整体趋势相似,各国最新的5年生存率数据为58.9%-70.8%。
比如在丹麦,相较于1995年-1999年期间,2010年-2014年期间确诊直肠癌和结肠癌患者的5年生存率分别增加21%和16.6%。
在预后普遍较差的食管癌、胃癌、胰腺癌和肺癌中,生存情况的改善也十分明显:
食管癌:目前澳大利亚5年生存率最高,从18.3%升高到23.5%,其他国家在14.7%-21.9%不等;其中冰岛改善幅度最大,20年来增加了11%。
胃癌:各个国家的5年生存率从14.0%-25.7%上升至20.8%-32.8%。
胰腺癌:虽然预后最差,但大多国家的生存情况都有了明显改善,5年生存率从3.2%-8.8%上升至7.9%-14.6%。
肺癌:随着迈入精准疗法和免疫时代,患者的生存期也相应得到了明显延长,目前各国的5年生存率在14.7%-21.7%。
从患者年龄而言,确诊时小于75岁的患者的生存率提高更明显。这可能与年轻患者更广泛接受了辅助化疗有关,这些患者的身体情况能够耐受更积极的治疗方案。
从地区差距来看,澳大利亚、加拿大和挪威的癌症患者生存率一直领先。随着时间的推移,各国癌症患者的1年生存率差距普遍逐渐缩小;食管癌和直肠癌的5年生存率差距也正在缩小。
综合发病率、死亡率和生存率趋势,胃癌,结肠癌,肺癌(男性)和卵巢癌在3个指标上都有所进展。
研究团队指出,高收入国家的癌症生存率持续改善,早期诊断和及时获得有效治疗可能是关键决定因素。比如,PET-CT成像等新技术有助于更好地诊断和癌症分期,基于分子标记的靶向治疗能够更精确地选择患者。
虽然这一趋势可喜,但地区差异仍然不能忽视,这提示我们仍需加强癌症早期筛查和诊断策略,并帮助患者公平地获得最佳治疗方案。期待随着科学的进步,以及好药新药更快来到患者身边,能够帮助更多癌症患者改善生活,拥有更长、更高质量的生存期。
参考资料
[1] Arnold M, et al., (2019). Progress in cancer survival, mortality, and incidence in seven high-income countries 1995–2014 (ICBP SURVMARK-2): a population-based study. Lancet Oncol, 10.1016/S1470-2045(19)30456-5
[2] New study reports increasing cancer survival and progress in cancer control across high-income countries since 1995. Retrieved Sep 17, 2019, from https://www.iarc.fr/wp-content/uploads/2019/09/pr275_E.pdf
来源:医学新视点
为你推荐
资讯 华东医药FIC三重激动剂DR10624最新临床数据披露,降低甘油三酯达75%,减少肝脏脂肪达67%
DR10624在治疗重度高甘油三酯血症(SHTG)的II期临床研究(“DR10624-201研究”)中取得的重要成果
2025-11-09 21:31
资讯 Pi3K新突破,皮下新生态,罗氏携手各界共见乳腺癌创新诊疗未来
罗氏制药中国召开“Pi3K新突破&皮下新生态——乳腺癌创新发布会”,乳腺癌管线创新靶向药物集体亮相进博舞台
2025-11-08 19:53
资讯 美敦力康辉亮相第八届进博会,AiBLE™数智生态加速进化拓维
作为连续八年参展进博的“全勤生”,美敦力康辉携AiBLETM数智创新生态重磅亮相,并以“智汇·新生态”为主题,集中展示自2023年AiBLE™首秀进博以来,其在数智创新、产业协作与...
2025-11-08 14:09
资讯 索诺瓦进博会亚洲首展峰力AI人工智能太极全能系列助听器, “双芯协同超算力”突破听力健康新想象
全球同步,亚洲首发,中国首展,索诺瓦峰力强力推出AI人工智能太极全能系列助听器,开启AI超算力助听时代
2025-11-08 11:56
资讯 诺和诺德“诺和关怀”发布鸿蒙版APP与减重专属版
11月7日,第八届中国国际进口博览会期间,诺和诺德宣布2023年组建的“健康生态联盟”扩容升级,将与更多数字生态圈伙伴在生态融合、数据互联、技术共创方面展开深度合作。
2025-11-07 23:16
资讯 凯西罕见病事业部首秀进博会
凯西集团是一家以研发为基石、拥有九十年历史的意大利国际制药集团,覆盖呼吸道健康、罕见疾病和专科治疗三大领域,其专利数量在意大利药企中排名首位,公司每年投入超20%营收至...
2025-11-07 22:58
资讯 卒中知晓周于进博会启幕,Pipeline™持续助力中国脑血管疾病治疗创新
美敦力神经介入部门以“深耕廿载·向美而行”为主题举办专场活动,并正式启动“卒中知晓周”倡导行动。
2025-11-07 22:48
资讯 诺华公司携手腾讯新闻《超级问诊》亮相进博会,多方合力破解心血管慢病“管理难题”
在第八届中国国际进口博览会现场,腾讯新闻联合诺华公司共同举办了《超级问诊》进博会特别场
2025-11-07 18:44
资讯 美敦力CathWorks实验室开放日丨CathWorks FFRangio系统正式发布!开启心血管诊疗智能新时代
2025年11月6日,第八届中国国际进口博览会期间,美敦力CathWorks实验室开放日重磅启幕
2025-11-07 18:08
资讯 创新技术赋能高血压防治——美敦力进博会圆桌共议难治性高血压管理新路径
来自临床、公共卫生、政策研究及行业领域的多位专家汇聚一堂,共同探讨创新疗法RDN(肾动脉交感神经消融术)在中国高血压防治体系中的临床应用、卫生经济学价值及未来发展方向。
2025-11-07 17:43













