在全球范围内,肠癌是高发癌种之一。大量的临床研究证明,筛查是降低肠癌发病率和死亡率的一个有效手段。
乙状结肠镜检查已经在很多国家全面展开。之前已经有大量的研究表明,乙状结肠镜检查可使结直肠癌发生率降低18%至26%,结直肠癌死亡率降低22%至31%[1-3]。
去年我们曾介绍过,英国伦敦帝国学院癌症筛查和预防研究团队的Wendy Atkin教授和她的同事们发现,一次柔性乙状结肠镜检查,可以让受试者群体在随后的17年内肠癌发病率降低近30%[4]。
乙状结肠镜检查
虽然从整体来看,上述队列研究都显示乙状结肠镜检查可以降低结直肠癌的发生和导致的死亡风险,但是几乎所有的队列的数据都出现了一个奇怪的现象:男性的发病率和死亡率的下降比女性多的多。
不过,由于乙状结肠镜检查在不同性别人群中的效果差异性,不是这些队列研究的主要目的。因此,乙状结肠镜检查效果是否与性别有关,研究人员并不确定。
为了让有关部门制定更有效的肠癌筛查方法,非常有必要弄清楚女性从乙状结肠镜检查中获益情况。
来自挪威最大及最古老大学——奥斯陆大学——的研究人员,在挪威政府和挪威癌症协会的支持下,发起了一项中位随访时间长达14.8年的临床研究(NCT00119912)。
研究结果让研究人员很意外:乙状结肠镜检查对女性肠癌的发生率和死亡率影响极其微小,甚至可以说是对女性根本就是无效。
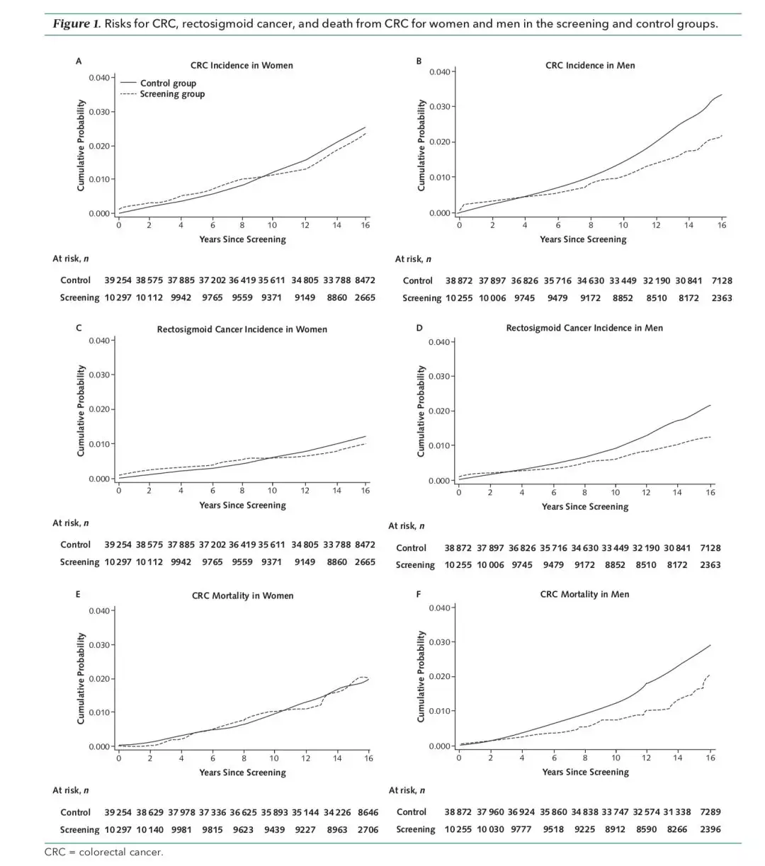
而男性就幸运的多。在长达近15年的随访时间内,肠癌的发生率下降34%,死亡率更是下降37%。?yvind Holme、Magnus L?berg和Mette Kalager三人领导的团队,将这一重要的发现发表在着名期刊《内科学年鉴》上。
真是不比不知道
这项临床研究一共招募了98678名50岁到64岁的志愿者,男性占49.8%,78126人不做任何筛查;余下的人随机分配到两个不同的筛查组,一组包括10271人,只做乙状结肠镜检查,另一组10281人,做乙状结肠镜与免疫化学粪便潜血试验(FOBT)组合检查。
在随访期间,一共有17242人死亡,6998名女性和10244名男性。
分析男性的数据发现:在随访的15年间,筛查组男性患结直肠癌的风险为1.72%,对照组为2.50%,差异显着;其中远侧结直肠癌在两个组的风险比为0.59,近侧结直肠癌两个组的风险比为0.81。而且这种差异不受年龄和检查手段的影响。
左边的三个图是女性群体,邮编三个是男性群体
在随访的15年间,筛查组男性因结直肠癌死亡的风险为0.49%,对照组则为0.81%,差异非常显着。其中远侧结直肠癌在两个组的风险比为0.65,近侧结直肠癌两个组的风险比为0.60,男性从乙状结肠镜筛查中获益非常明显。仅乙状结肠镜检查的风险比为0.64,乙状结肠镜检查联合FOBT的风险比为0.62。
再去分析女性的数据,可以说是很让人失望了。
研究人员发现:在随访的15年间,筛查组女性患结直肠癌的风险为1.86%,对照组则为2.05%,差异不显着;筛查组女性因结直肠癌死亡的风险为0.60%,对照组为0.59%,差异同样不显着。而且,死亡风险不受肠癌的位置和筛查方法的影响。
无论从哪个角度看,男性都比女性获益更多
总的来说,这个临床研究再一次证实,对于男性而言,乙状结肠镜检查可以有效降低肠癌的发生率和死亡率。而且,这种保护效果可以持续15年之久。
对于女性而言,无论是乙状结肠镜检查,还是联合FOBT,都效果甚微,或者可以说是无效。背后的原因究竟是什么,目前也不清楚,还需要更多的研究去探索。
由于目前在全世界范围内,还没有哪个肠癌筛查指南做了性别的区分。这个研究表明,在做肠癌的筛查时,有必要考虑性别差异。
左:结肠镜能覆盖的范围;右:乙状结肠镜覆盖的范围
尽管有研究数据暗示,在女性群体中,结肠镜检查可能比乙状结肠镜检查更有效[6]。然而,研究人员认为,这也是不确定的,因为关于结肠镜检查在女性群体中的有效性的随机试验仍在进行中[7]。
显然,给女性开发一套有效的肠癌筛查方法迫在眉睫。
参考资料:
[1]. Holme O, Loberg M, Kalager M, et al. Effect of Flexible Sigmoidoscopy Screening on Colorectal Cancer Incidence and Mortality A Randomized Clinical Trial[J]. JAMA, 2014, 312(6): 606-615.
[2]. Schoen R E, Pinsky P F, Weissfeld J L, et al. Colorectal-Cancer Incidence and Mortality with Screening Flexible Sigmoidoscopy[J]. The New England Journal of Medicine, 2012, 366(25): 2345-2357.
[3]. Segnan N, Armaroli P, Bonelli L, et al. Once-Only Sigmoidoscopy in Colorectal Cancer Screening: Follow-up Findings of the Italian Randomized Controlled Trial—SCORE[J]. Journal of the National Cancer Institute, 2011, 103(17): 1310-1322.
[4]. Atkin W, Wooldrage K, Parkin D M, et al. Long term effects of once-only flexible sigmoidoscopy screening after 17 years of follow-up: the UK Flexible Sigmoidoscopy Screening randomised controlled trial[J]. The Lancet, 2017, 389(10076): 1299-1311.
[5]. Holme ?, L?berg M, Kalager M, et al. Long-Term Effectiveness of Sigmoidoscopy Screening on Colorectal Cancer Incidence and Mortality in Women and Men: A Randomized Trial[J]. Annals of internal medicine, 2018.
[6]. Schoenfeld P, Cash B D, Flood A, et al. Colonoscopic Screening of Average-Risk Women for Colorectal Neoplasia[J]. The New England Journal of Medicine, 2005, 352(20): 2061-2068.
[7]. Robertson D J, Kaminski M F, Bretthauer M, et al. Effectiveness, training and quality assurance of colonoscopy screening for colorectal cancer[J]. Gut, 2015, 64(6): 982-990.
来源:奇点网
作者:奇点糕
来源:奇点网 作者:奇点糕
为你推荐
资讯 医疗服务价格项目立项指南解读辅导(第1期)
长期以来,医疗服务价格实行属地管理,由地方医药价格主管部门制定价格项目、确定价格水平,地区间价格项目数量、内涵、颗粒度差异较大,部分地区按操作流程、岗位分工等拆分价...
2026-03-27 11:21
资讯 社保“第六险”,长期护理险全国落地
3月25日,中共中央办公厅、国务院办公厅发布《关于加快建立长期护理保险制度的意见》,标志着这项被称作社保“第六险”的制度正式结束10年试点,迈向全国建制新阶段。
2026-03-26 18:09
资讯 国家药监局发布《药品现代物流规范化建设指导意见》,自发布之日起施行
本指导意见是对申请开办药品批发企业(以下简称批发企业)和接受委托储存运输药品业务的第三方药品现代物流企业(以下简称第三方物流企业),在药品现代物流设施设备等方面的基...
2026-03-26 10:14
资讯 华东医药独家商业化VC005片Ⅲ期临床顶线数据积极,抢占自免口服疗法新高地
华东医药战略合作方江苏威凯尔医药科技股份有限公司(简称“江苏威凯尔”)宣布,其自主研发的Ⅱ代高选择性JAK1抑制剂VC005片在口服治疗中重度特应性皮炎(AD)的Ⅲ期临床研究中...
2026-03-25 18:52
资讯 Cytiva携手上海临床研究中心与新叶生维, 加速先进细胞治疗临床应用转化与产业化发展
Cytiva与上海临床研究中心签署战略合作备忘录,共同设立先进细胞治疗技术临床应用示范平台,以产学研协同为牵引,带动区域产业升级。
2026-03-25 18:46
资讯 国家药监局批准两款创新医疗器械
近日,国家药品监督管理局批准了两款创新医疗器械上市。分别为阿迈特医疗器械(北京)股份有限公司二氧化碳造影压力注射套装创新产品注册申请和应脉医疗科技(上海)有限公司经...
2026-03-25 14:53
资讯 甘李药业博凡格鲁肽新适应症获批IND
近日,甘李药业股份有限公司及其全资子公司甘李药业山东有限公司宣布,其自主研发的博凡格鲁肽(研发代号:GZR18)注射液增加新适应症的临床试验申请获得国家药监局批准。拟用于...
2026-03-25 14:38
资讯 茵菲多组学完成5100万元Pre-A轮融资,构建“硬件+AI+试剂”一体化技术壁垒
本轮融资由杭州新干世业、三泽资本、泰煜投资、德华创投共同参与,丰和资本担任独家财务顾问
2026-03-24 12:59
资讯 赶早赴约,忆路守护 礼来携手清华大学阿尔茨海默病科普创意大赛圆满收官
今日,由礼来主办,清华大学承办的 “赶早赴约,忆路守护” 阿尔茨海默病(AD)科普创意大赛颁奖典礼在清华大学圆满落幕。
2026-03-23 17:48
资讯 健康小美+蚂蚁阿福,美年健康与蚂蚁健康推动AI医疗深度合作
3月23日,美年健康与蚂蚁健康宣布达成全面战略合作。双方将依托美年长期沉淀的专业健康数据体系、覆盖全国的线下医疗服务网络,以及医学检测设备与标准化医疗服务能力所构成的这...
2026-03-23 17:06
资讯 迪哲医药舒沃哲单药一线治疗EGFR exon20ins非小细胞肺癌国际多中心III期临床试验获阳性顶线结果
3月23日,迪哲医药发布公告称,其自主研发的产品舒沃哲(ZEGFROVY,通用名:舒沃替尼片)单药一线治疗表皮生长因子受体(EGFR)20 号外显子插入突变(exon20ins)晚期非小细胞...
2026-03-23 10:45















