今日(5月18日),华山医院感染科旗下公众号“华山感染”发布了君实生物新冠口服药VV116在中国针对奥密克戎感染受试者的首个临床试验研究结果。
这是一项开放性、前瞻性队列研究,由国家传染病医学中心、上海市传染病与生物安全应急响应重点实验室、华山感染张文宏教授团队与上海公共卫生临床中心范小红教授团队、临港实验室共同合作,评估VV116对非重症奥密克戎感染患者核酸转阴时间的影响,相关研究成果被发表在《新发病原体与感染》杂志上。
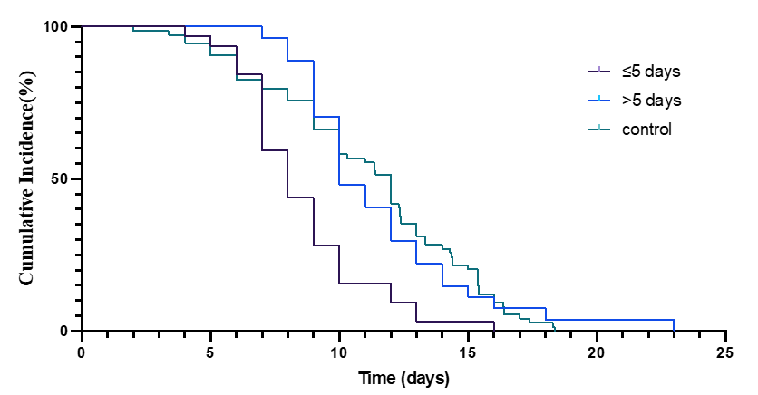
研究数据提示,在首次核酸检测阳性5日内使用VV116的奥密克戎感染患者,其核酸转阴时间为8.56天,小于对照组的11.13天。有症状的患者中,在本研究的用药时间范围内(首次核酸阳性2-10天)给予VV116,均可以缩短患者的核酸转阴时间。在药物安全性上,使用了VV116的患者中,未观察到严重不良反应。
“华山感染”提醒,作为一项开放性、前瞻性队列研究,本研究所纳入的样本量有限,所有受试者均未发展为重症或危重症。因此该研究未能收集到足够多的数据进一步分析VV116是否对于奥密克戎感染重症化具有预防作用,仅初步评价了轻症患者中核酸转阴这单一指标。
来源:医谷网
为你推荐
资讯 中国制药装备行业协会副秘书长遆倩鹤涉嫌严重违法,正接受监察调查
2月6日,中央纪委国家监委网站讯 据中央纪委国家监委驻中央社会工作部纪检监察组、海南省纪委监委消息:中国制药装备行业协会副秘书长遆倩鹤涉嫌严重违法,目前正接受中央纪委...
2026-02-07 22:13
资讯 CDE:化学仿制药透皮和局部给药系统黏附性和刺激性/致敏性评估临床试验技术指导原则(试行)
本指导原则适用于TDS化学仿制药。常见适用TDS包括可能描述或称为贴片、透皮贴剂或缓释膜固态制剂产品。应用本指导原则时,请同时参考药物临床试验质量管理规范(GCP)国际人用药...
2026-02-07 13:48
资讯 诺华可善挺(司库奇尤单抗)放射学阴性中轴型脊柱关节炎(nr-axSpA)新适应症在华获批
适用于治疗对非甾体类抗炎药(NSAID)应答不佳的活动性放射学阴性中轴型脊柱关节炎成人患者(其客观征象表现为C反应蛋白(CRP)升高和 或磁共振成像(MRI)证据)
2026-02-06 15:54
资讯 天津市互联网诊疗监管实施办法(试行)
医疗机构应当主动与市级监管平台对接,及时上传、更新《医疗机构执业许可证》等相关执业信息,主动接受监督。医疗机构取得《医疗机构执业许可证》后或《医疗机构执业许可证》变...
2026-02-06 08:59
资讯 八部委发布《中药工业高质量发展实施方案(2026—2030年)》
培育60个高标准中药原料生产基地。协同体系更加健全,中药材种植加工、中药研发生产、流通服务等上下游各环节协同更加紧密,建设5个中药工业守正创新中心,推动一批中药创新药获...
2026-02-05 21:21
资讯 国家医保局今年将重点对精神类定点医疗机构开展专项飞检
各省级医保部门要组织本辖区内所有精神类定点医疗机构从即日起全面开展自查自纠,重点聚焦但不限于诱导住院、虚假住院、虚构病情、虚构诊疗、伪造文书、违规收费等违法违规使用...
2026-02-05 17:13
资讯 国际SOS荣膺“2026年度全球杰出雇主”
今日,国际SOS宣布,公司连续第八年荣获杰出雇主调研机构(Top Employers Institute)授予的杰出雇主认证。
2026-02-05 14:42
资讯 默克高管周虹离任,诺和诺德官宣在即,医药行业再迎关键人事变动
默克医药健康全球执行副总裁、中国及国际市场负责人周虹正式离任,其将加盟丹麦制药巨头诺和诺德,接任产品与组合战略执行副总裁一职
2026-02-05 11:58
资讯 104亿元!2026年小核酸领域首笔出海BD诞生
圣因生物与罗氏集团旗下子公司基因泰克达成全球研发合作与许可协议,双方将基于圣因生物专有的RNAi药物研发平台,共同推进一款RNAi疗法的开发。
2026-02-05 11:50
资讯 合成生物企业桦冠生物宣布完成数亿元C轮融资
本轮融资由软银欣创、顺禧基金、常州启航合成生物创投基金、国投创益、长江资本等多家知名机构联合投资,光源资本担任财务顾问,所融资金将重点投向医药与大健康领域新品研发、...
2026-02-04 11:50
资讯 AI制药独角兽深度智耀完成6000万美元新一轮融资,加速全栈式研发解决方案落地
本轮融资吸引了信宸资本、金镒资本、凯泰资本等新投资方入局,老股东鼎晖百孚、新鼎资本持续追加投资
2026-02-03 20:03
资讯 济川药业联合康方生物,共拓心血管创新药商业化新局
伊喜宁®(伊努西单抗注射液)是康方生物自主开发创新的PCSK9单克隆抗体新药,于2024年9月获批上市,用于治疗原发性高胆固醇血症和混合型高脂血症,包括杂合子家族性高胆固醇血...
2026-02-03 19:34
拜耳诺倍戈®第三项适应症在中国获批,用于治疗转移性激素敏感性前列腺癌(mHSPC)
诺倍戈®此前已先后获批用于治疗有高危转移风险的非转移性去势抵抗性前列腺癌(NM-CRPC)成年患者,和联合多西他赛治疗转移性激素敏感性前列腺癌的(mHSPC)成年患者。
2026-02-03 18:42










