昨日(7月29日),上海阳光采购网发布了第三批国家组织药品集中采购文件,第三批集采将于8月20日正式开启。
涉及56个药品,不乏知名大品种
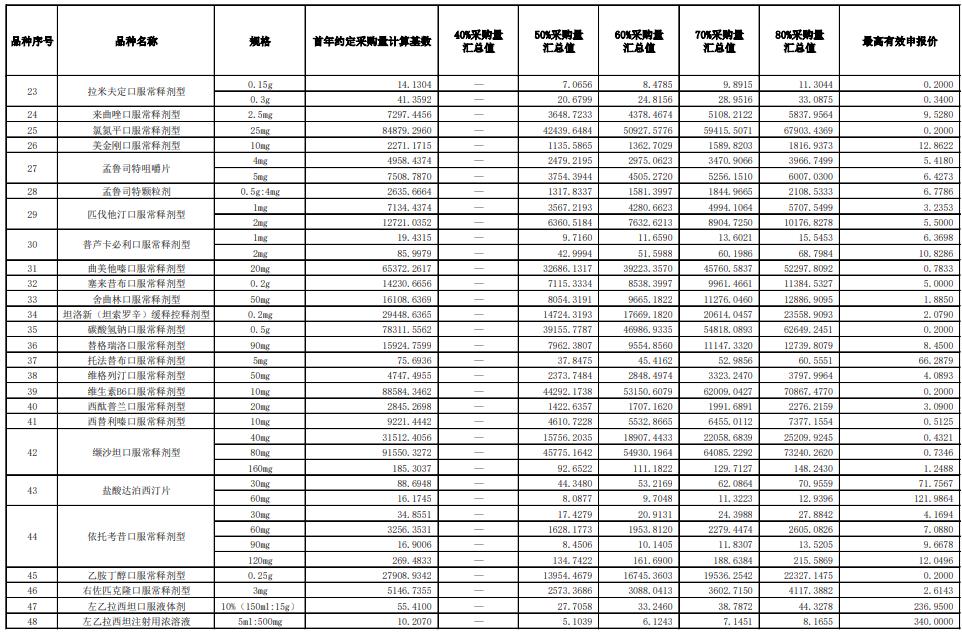
根据采购文件,此次集采涉及56个品种,80余个品规,其中不乏阿那曲唑、氨溴索、布洛芬、地氯雷他定、奥氮平、二甲双胍、枸橼酸西地那非等知名大品种,据米内网数据显示,第三批集采品种在2019年中国城市公立医院、县级公立医院、城市社区中心以及乡镇卫生院(简称中国公立医疗机构)终端合计销售额超过560亿元,其中有23个药品销售额超过10亿元。
最多可允许8家企业中标
在中选规则方面,由于部分大品种企业较多,竞争激烈,比如二甲双胍,因此,此次集采将允许至多8家企业中选,在第二轮集采中,最多可允许6家企业中标。
相应的,企业中标数量不同,采购量也就不同,采购文件显示,全国实际中选企业数为1家的,为首年约定采购量计算基数的50%;全国实际中选企业数为2家的,为首年约定采购量计算基数的60%;全国实际中选企业数为3家的,为首年约定采购量计算基数的70%;全国实际中选企业数为4家及以上的,为首年约定采购量计算基数的80%。
在采购周期方面,全国实际中选企业数为1家或2家的,本轮采购周期原则上为1年;全国实际中选企业数为3家的,本轮采购周期原则上为2年;全国实际中选企业数为4家及以上的,本轮采购周期原则上为3年。
同时,采购文件还明确,采购周期内采购协议每年一签。续签采购协议时,约定采购量原则上不少于各地该中选药品上年约定采购量;购周期内若提前完成当年约定采购量,超出部分中选企业仍按中选价进行供应,直至采购周期届满。
价格方面,与第二轮集采基本相同,采取1.8倍的报价机制(即同品种超过最低报价1.8倍的企业自动出局)以及降价50%的规则。
特殊品种的“区别对待”
值得一提的是,采购文件对部分品种的政策采取了区别对待。
采购文件提出,阿莫西林颗粒剂、利奈唑胺口服常释剂型、莫西沙星氯化钠注射剂、左氧氟沙星滴眼剂、环丙沙星口服常释剂型、头孢地尼口服常释剂型、头孢克洛口服常释剂型、克拉霉素口服常释剂型各地首年约定采购量按以下规则确定:全国实际中选企业数为1家的, 为首年约定采购量计算基数的40%;全国实际中选企业数为2家的,为首年约定采购量计算基数的50%;全国实际中选企业数为3家的,为首年约定采购量计算基数的60%;全国实际中选企业数为4家及以上的,为首年约定采购量计算基数的70%。
其次,阿扎胞苷注射剂、莫西沙星氯化钠注射剂、左乙拉西坦注射用浓溶液三个品种本轮的采购周期固定为1年,不受中选企业数量影响。
如有以下14种行为将失去申报和中选资格
另值得关注的是,第三批集采还设立了设立了“违规名单”,有下列14种违规行为将受处罚。
申报品种不符合“申报品种资格”或涉嫌不如实提供材料;
提供处方回扣或其他商业贿赂,进行非法促销活动;
以低于成本的价格恶意申报,扰乱市场秩序;
相互串通申报、协商报价,排斥其他申报企业的公平竞争,损害采购方或者其他申报企业的合法利益;
以向采购方、联合采购办公室行贿等手段牟取中选;
提供虚假证明文件及文献资料,或者以其他方式弄虚作假,骗取中选;
在规定期限内不签订购销协议;
未按采购方及法律法规要求实行配送;
中选后放弃中选资格;
不履行供货承诺,影响到临床使用;
中选药品发生严重质量问题;
在抽检或飞行检查中发现中选企业严重违背在申报材料中作出的承诺;
恶意投诉的企业;
蓄意干扰集中采购相关工作秩序。
文件明确出,申报企业列入“违规名单”的,取消该企业的申报资格;中选企业列入“违规名单”的,取消该企业的中选资格。同时视情节轻重取消上述企业或品种在列入“违规名单”之日起2年内参与各地药品集中采购活动的资格。
配送企业列入“违规名单”的,取消该企业的配送资格及列入“违规名单”之日起 2 年内参与各地药品集中采购的配送资格
附采购品种目录
来源:医谷网
为你推荐
资讯 百时美施贵宝宣布口服药物mezigdomide治疗复发或难治性多发性骨髓瘤Ⅲ期研究SUCCESSOR-2的积极结果
这是mezigdomide首项获得积极结果的Ⅲ期研究,也是百时美施贵宝CELMoD项目第二项获得积极成果的Ⅲ期研究
2026-03-11 21:15
资讯 备思复联合帕博利珠单抗使顺铂耐受的肌层浸润性膀胱癌患者的复发或死亡风险降低近 50%
在 III 期临床研究 EV-304 中,该联合疗法显著改善患者总生存期与病理完全缓解率,超半数患者在手术时未检测到病灶
2026-03-11 13:17
资讯 降 HbA1c 超 2.5%且多重获益,华东医药国产降糖新药HDM1005降糖2期数据揭晓
本次研究为一项在饮食和运动或二甲双胍治疗后血糖控制不佳的2型糖尿病受试者中评价HDM1005注射液有效性和安全性的多中心、随机、盲法、平行、安慰剂和阳性对照的Ⅱ期临床研究
2026-03-10 19:38
资讯 艾凯生物完成A3轮超亿元融资,加速AI驱动iPSC细胞治疗与类器官平台升级
本轮融资由知壹投资与沃杰资本联合领投,联新资本持续追加投资,资金将重点用于推进AI驱动的iPSC细胞治疗产品临床转化,加速完善iPSC细胞治疗与类器官两大核心技术平台布局。
2026-03-10 18:22
资讯 中科搏锐斩获数千万B轮融资,推动脑机接口全产业链产业化落地
本轮融资由国内知名投资机构三泽创投独家投资,凯乘资本担任长期独家财务顾问,所筹资金将全力支撑公司深化脑机接口全产业链布局,加速尖端技术的临床转化与产业化落地。
2026-03-10 18:03
资讯 入选不足4月,和黄医药申请将达唯珂移出首版商保创新药目录
国家医疗保障局办公室今日发布通知,自2026年3月9日起,撤销氢溴酸他泽司他片(商品名:达唯珂)在全国各省级医药采购平台挂网资格,并根据企业申请,将该药品移出《商业健康保...
2026-03-09 22:09
资讯 CDE:抗肿瘤药物生物等效性及药代动力学比对研究受试者人群选择考虑
本指导原则主要基于小分子化学药物及单抗类药物的研究经验,为抗肿瘤药物 BE PK 比对研究中受试者人群的选择考虑提供建议。
2026-03-07 10:59
资讯 四家知名药企被暂停军队采购
近日,军队采购网发布一批“军队采购暂停名单”,其中涉及四家药企被列入暂停名单,具体为北京费森尤斯卡比医药有限公司、齐鲁制药有限公司、宜昌人福药业有限责任公司和江苏新...
2026-03-07 10:41
资讯 新一代 cAMP 偏向型 GLP-1 受体激动剂埃诺格鲁肽(先维盈)获批用于中国成人体重管理
在一项大型III期临床研究中展现出具有临床意义的减重效果:治疗48周时,受试者的平均体重下降达15 4%,其中92 8%的受试者实现了5%以上的体重减轻。
2026-03-06 12:38
资讯 11.8亿美元!德琪医药自免TCE双抗ATG-201授权优时比
德琪医药将其自主研发的CD19 CD3双特异性T细胞连接抗体(TCE)ATG-201的全球开发、生产及商业化独家权益授予优时比,用于治疗B细胞相关自身免疫性疾病。
2026-03-04 20:05

















